सुखड, ८ भाद्र २०८२ । आर्थिक वर्ष २०८०/८१ को सङ्घीय मामिला तथा सामान्य प्रशासन मन्त्रालयले गरेकाे स्थानीय तह संस्थागत क्षमता स्वमूल्याङ्कनमा कैलालीको घोडाघोडी नगरपालिका स्थानीय तह संस्थागत स्वमूल्याङ्कन (लिजा) जिल्लाको उत्कृष्ट नगरपालिका भएको छ ।

प्रकाशित अन्तिम नतिजामा घोडाघोडी नगरपालिकाले विभिन्न सूचक मापनमा ८५ दशमलव ५० अङ्क प्राप्त गरी जिल्लामा प्रथम भएको हो ।
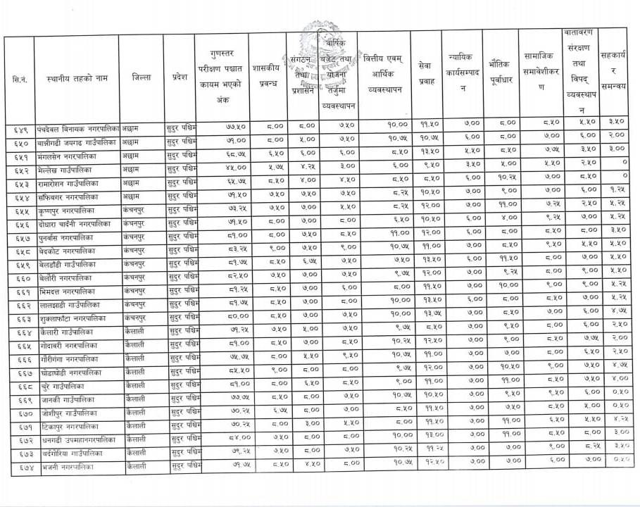
देशभरका स्थानीय तहहरूको गुणस्तर र कार्यसम्पादन परीक्षणपछि सार्वजनिक गरिएको नतिजाअनुसार सुदूरपश्चिम प्रदेशमा कैलालीको घोडाघोडी नगरपालिका पहिलो भएको छ।
कुन जिल्लामा को उत्कृष्ट, को कमजोर?
कैलाली—घोडाघोडी नगरपालिका (८५.५०) पहिलो हुँदा मोहन्याल गाउँपालिका (५५.५०) पुछारमा छ।
कञ्चनपुर— बेदकोट नगरपालिका (८३.२५) पहिलो र दोधारा चाँदनी नगरपालिका (७१.५०) अन्तिममा छ।
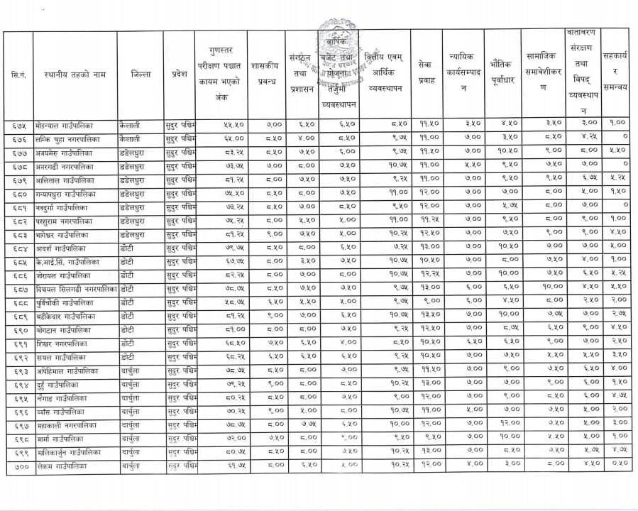
बाजुरा—बुढीगंगा नगरपालिका (८४.२५) पहिलो र बुढीनन्दा नगरपालिका (६१.७५) अन्तिममा छ।
बैतडी—पुर्चौंडी नगरपालिका (७७.२५) पहिलो र मेलौली नगरपालिका (३१.२५) अन्तिममा छ।
अछाम—पंचदेवल विनायक नगरपालिका (७७.५०) पहिलो र ढकारी गाउँपालिका (४३.७५) अन्तिममा छ।
डडेल्धुरा—अजयमेरु गाउँपालिका (८३.२५) पहिलो र नवदुर्गा गाउँपालिका (७३.२५) अन्तिममा छ।
डोटी—जोरायल गाउँपालिका (८२.२५) पहिलो र पुर्विचौकी गाउँपालिका (५८.७५) अन्तिममा छ।
दार्चुला—शैल्यशिखर नगरपालिका (८१) पहिलो र लेकम गाउँपालिका (६१.७५) अन्तिममा छ।
बझाङ—केदारस्युँ गाउँपालिका (७९.७५) पहिलो र सुर्मा गाउँपालिका (६२) अन्तिममा छ।


